У документу се предлаже уједињење Косова и Албаније, где би српски део Косова добио посебан статус по узору на Јужни Тирол, затим уједињење већине територије Републике Српске са Србијом

Фото: Снимак екрана
ЉУБЉАНА – Словеначки портал „Нецензурисано” објавио је незванични дипломатски документ, такозвани „нон пејпер” у коме се помиње идеја поделе БиХ, припајање Републике Српске Србији и Косова Албанији.
Портал подсећа да се од понедељка у Словенији, Хрватској и Босни и Херцеговини спекулише о томе да ли је премијер Јанез Јанша заиста послао у Брисел „нон пејпер”, у коме се помиње ново цртање граница на подручју бивше Југославије.
За сада нико званично није потврдио да је председник Европског савета Шарл Мишел од Словеније добио документ таквог садржаја, међутим незванични дипломатски документ, који предвиђа распад Босне и Херцеговине, припајање Републике Српске Србији и уједињење Косова са Албанијом заправо постоји, тврди словеначки портал, преноси Танјуг.
Портал даље наводи да је документ под називом „Западни Балкан – пут напред”, кабинет Шарла Мишела примио још у фебруару.

Јанез Јанша (Фото: Оливер Хостел/АП фото)
„Ко је то написао, не може званично да се зна. Према изворима словеначких новинара, засигурно није написан у словеначком Министарству спољних послова. Део његовог садржаја могао је бити написан, према неким информацијама, у Будимпешти”, пише портал и додаје да се у дипломатским круговима документ назива „словеначким” јер је наводно Јаншин кабинет учествовао у његовом слању на разне адресе.
Али, будући да се ради о незваничном дипломатском документу намењеном комуницирању различитих ставова и иницијатива без званичног карактера, „нема ни главу ни потпис”, а до Мишела је, наводи се, дошао мимо званичне дипломатске поште, због чега се његово постојање може у било којем тренутку јавно порећи.
Због тога, тврди портал, то није званични став Словеније, већ само један од неформалних предлога за могуће решење питања која се тичу земаља бивше Југославије.
„Али његов садржај је у потпуној супротности са свим важећим документима на којима се темељи спољна политика Словеније. Документ је прилагођен српским и хрватским националистичким круговима, који већ три деценије раде на комадању Босне и Херцеговине”, пише портал.


Извор: necenzurirano.si
У уводу документ спомиње „нерешена национална питања Срба, Албанаца и Хрвата”, која су се појавила након распада Југославије, а аутори документа истичу да чак и након успостављања мира након завршетка ратова, обећаних европских перспектива и напретка Северне Македоније и Црне Горе у овом правцу у региону, „кључна питања остају нерешена”.
У тексту се као главна нерешена питања истиче да је Дејтонски споразум 1995. године, којим је окончан рат у Босни и Херцеговини, практично препознао оно што је постигнуто у рату, али не у принципу, да је тренутно тешко замислити европске перспективе Србије и Косова, да се чланство БиХ у ЕУ може у потпуности искључити.
Такође, помиње се и да је празан простор у међувремену искористила Турска, која је повећала свој утицај у БиХ и Северној Македонији, да осим Турске и неколико политичара наклоњених тој земљи, нико није задовољан ситуацијом у БиХ.
Аутори документа нагласили су да Србија, Хрватска и Албанија тренутно имају стабилне владе и да су њихови изабрани политичари способни доносити стратешке одлуке.
У кључном делу нон пејпера, као решења за проблеме предлаже се уједињење Косова и Албаније, где би српски део Косова добио посебан статус по узору на Јужни Тирол, затим уједињење већине територије Републике Српске са Србијом, при чему би Србија пристала на уједињење Косова и Албаније.
Предлаже се и да се хрватско национално питање реши спајањем већине хрватских кантона у БиХ са Хрватском или давањем посебног статуса хрватском делу БиХ, такође по узору на Тирол.
Teritorijalni integritet BiH je neupitan. Uvjerena sam da niko ozbiljan unutar Evropske unije ne može usvojiti ideju da ima pravo ugrožavati nečiji integritet, pa čak i ako unutar BiH imamo retrogradne snage koje to pokušavaju nametnuti kao legitimnu priču. 1/3 #nonpaper
— Bisera Turković (@BiseraTurkovic) April 15, 2021
Сва ова решења, сматрају аутори нон пејпера, убрзала би преговоре о чланству земаља Западног Балкана у ЕУ и НАТО-у.
Ипак, оцењује „Нецензурисано”, то су предлози којима се оштро противе у САД-у, Немачкој, Француској и другим европским земљама, а међународна заједница наглашава важност територијалног интегритета БиХ и противи се новом исцртавању граница на простору бивше Југославије.
„Зелено светло за распад Босне и Херцеговине и уједињење Косова са Албанијом дало би нови замах српским националистима у Црној Гори и албанским националистима у Северној Македонији, двема чланицама НАТО-а”, пише портал.
Оцењује се да је то што се документом спомињу Словенија и Јанша вероватно највећи ударац за предстојеће словеначко председавање ЕУ.
Ипак додаје се да Јанша није изричито порекао постојање документа, већ да је нагласио да би „било тешко предати нешто Шарлу Мишелу у фебруару или марту, будући да га је последњи пут срео прошле године”.
Eh, @eucopresident sem nazadnje srečal lani. Težko bi mu tako februarja ali marca letos karkoli fizično predal, kot piše obskurni splet, ki ga navajate. 🇸🇮 sicer resno išče rešitve za razvoj regije in EU perspektivo držav ZB, s takimi zapisi pa se ravno ta cilj skuša onemogočiti. https://t.co/aObQNCkRc5
— Janez Janša (@JJansaSDS) April 12, 2021
Али, постоји много могућих начина на које је документ могао стићи до Брисела, наводи портал и као пример наводи састанак Вишеградске групе средином фебруара у Пољској којем је присуствовао Мишел и где је Јаншин најближи политички савезник у ЕУ Виктор Орбан могао да му достави документ.
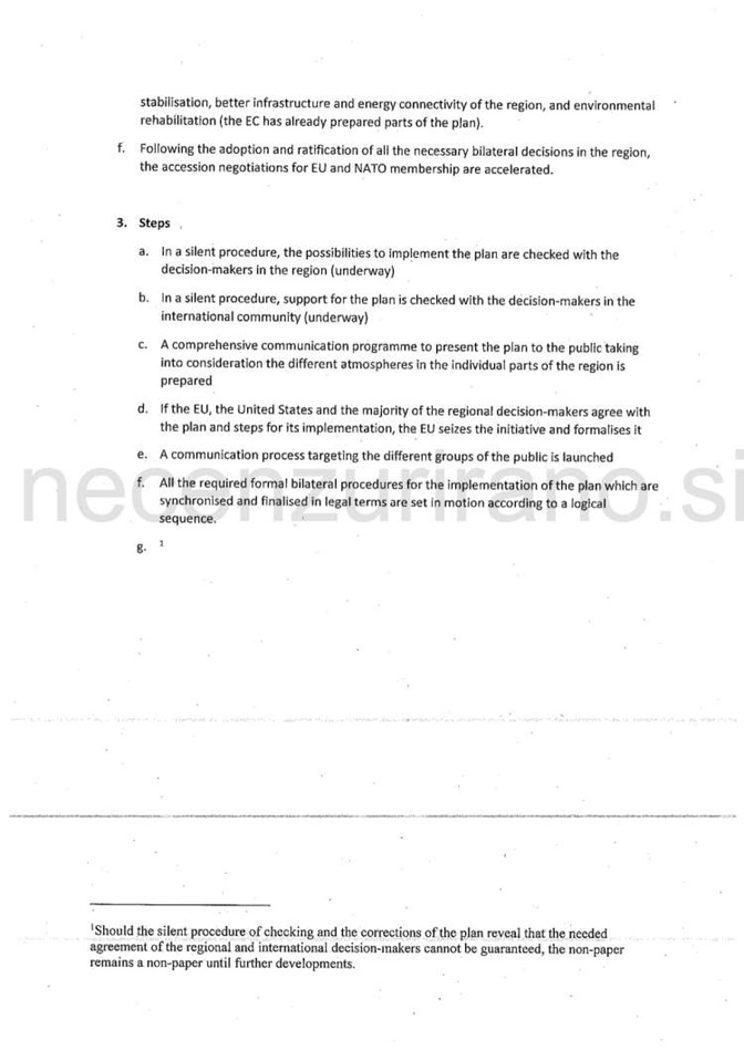
У документу се говори и о будућим „корацима”, односно о „тихој провери” код доносилаца одлука у региону и међународној заједници да ли се план може спровести.
„Ако се докаже да се не може постићи споразум, документ ће задржати статус нон пејпер”, закључује портал.
Према информацијама портала Нецензурисано, последњих месеци о БиХ су постојала три „нон пејпера” у којима је Словенија на овај или онај начин учествовала.
Опрема: Стање ствари
Categories: Вести над вестима
Оставите коментар