Услед бржег раста увоза од извоза постоји могућност да за пар година постанемо нето увозник пива. У односу на 2007 извоз пива је у 2018. био већи за 12,2%, док је увоз повећан за 109,6%

Други август Евростат обележава као међународни дан пива и у свом саопштењу (oвде) наводи Србију као другу земљу ван ЕУ, након Мексика на сувереном првом месту према количини пива увезеног са простора ван ЕУ.
Том другом месту можемо захвалити Мирославу Мишковићу и одлуци Делта холдинга да уђе на тржиште Бугарске, пре него што је Делта продата Делезeу.
Прошле године је нагло увећана вредност увоза пива из Словеније, са 1,6 на 4,5 милиона евра и из Немачке, са 1,3 на 2,1 милиона евра, а ово можемо захвалити пословању Меркатора и Лидла.
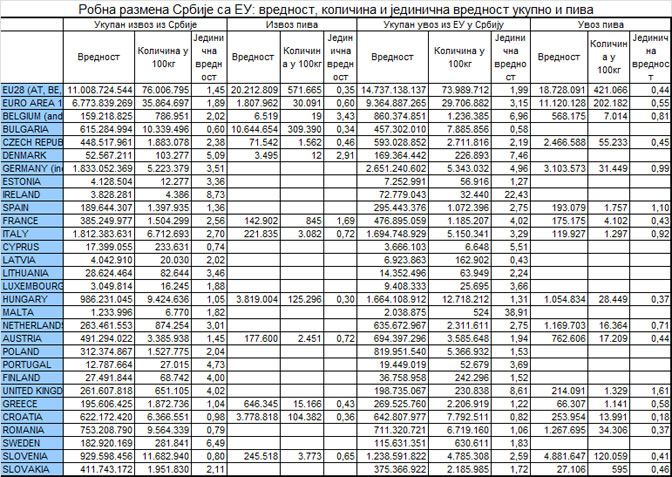
Према подацима Евростата извоз пива из Србије у ЕУ вредео је 20,1 милиона евра у 2018, највише у Бугарску (10,6) и у Хрватску (3,8), а увоз 18,7 милиона евра и то највише из Словеније (4,9 милиона евра), Немачке (3,1) и Чешке (2,5 милиона).
Да су трошкови транспорта постали много важније ограничење робној размени од царинске заштите најбоље приказују подаци из приложене табеле. Просечна јединична цена извоза из Србије у ЕУ била је 1,45 евра по килограму у 2018, док је просечна цена увоза била 1,99 евра.
Роба из Србије била је најскупља приликом пласмана у удаљене земље и обратно. Просечна извозна цена за Ирску била је 8,73 евра по килограму, следе Шведска (6,49) и Данска (5,09). Најнижа цена извоза била је у Бугарску (0,6), Кипар (0,74), Румунију (0,79), Словенију (0,8) и Хрватску (0,98).

Робна размена Србије са ЕУ и увоз и извоз пива: вредност, количина и јединична вредност (Табела: Макроекономија)
Увоз је био најскупљи са Малте (38,91 евра по килограму и из Ирске (22,42) а најjевтинији из Летоније (0,43), Бугарске (0,58), и Хрватске (0,82).
Просечна извозна цена пива била је 0,35 евра по литру а увозна 0,44. Пиво се најјевтиније извозило у Мађарску (0,3), Бугарску (0,34) и Хрватску (0,36), а најскупље у Белгију (3,43) и Данску (2,91). Најјевтинији увоз пива био је из Хрватске (0,18), Румуније и Мађарске (по 0,37 евра по литру), а најскупљи из УК (1,61) и Шпаније (1,1).
Увоз пива из Србије учествовао је са 0,9% у укупном увозу чланица ЕУ, а 11,9% у укупном увозу из земаља ван ЕУ. Највећи удео у укупном увозу Србија је имала код Бугарске (50%), Хрватске (11,3%) и Мађарске (8,7%), а код увоза ван ЕУ код Бугарске (94,6%), Словеније (81,8%), Хрватске (81,5%) и Мађарске (80,4%).
То су подаци Евростата.
Према подацима достављеним СТО-у у претходних 12 година извоз пива из Србије вредео је 605 милиона евра, увоз 97 те је остварен суфицит у износу од 508 милиона евра. Највећи део суфицита остварен је у трговини пивом са БиХ (402,7), Црном Гором (40,3) и Северном Македонијом (6,3). Од чланица ЕУ највећи суфицит остварен је у трговини са Бугарском (37,1), Хрватском (31), Грчком (15) и Мађарском (13,2) а дефицит у трговини са Словенијом (-9,6) и Мађарском (-8,4 милиона евра).

Кретање увоза и извоза пива (Табела: Макроекономија)
Услед бржег раста увоза од извоза постоји могућност да за пар година постанемо нето увозник пива. У односу на 2007 извоз пива је у 2018. био већи за 12,2%, док је увоз повећан за 109,6%. У 2007 извоз је 5,6 пута више вредео од увоза, а у 2018 вредео је 3 пута више.
Опрема: Стање ствари
Categories: Преносимо
Живим у земљи „Хајнекена“ и сматрам га за најгори бућкуриш, али за најбољи пример генијалног маркетинга, који показује да се блесавој прблици уз добар макретинг може увалити свако ђубре.
Ако већ говоримо о увозу пива (мада обичним српским пивима – не знам да ли још увек постоје – скоро сва су била укуснија од Хајнекена ) ништа није фалило, дакле ако говоримо о увозу, вреди увозити само висококвалитетна белгијска пива (нарочито она манстирска, чланова удружења траписта – нпр. Chimay), мада су и нека друга, као Duvel или Gouden Draak изузетно укусна. Истина, она имају једну озбиљну ману: вишеструко су скупља од обичних пива, али – шта ћеш, добро се каже да ни код бабе нема за џабе…
Чињеница је да је многима све страно слађе него домаће. А истина је и да су се наша пива искварила до обојене водице.