И тако, било би добро испричати што више овако лепих прича. Србија је лепа земља добрих људи, а демократија и просветитељство у њој напредују и том напретку неће бити краја

Мирослав Здравковић (Фото: РТВ)
Србија је лепа земља добрих људи. У њој влада медијска демократија, што доказују две компаније које анализирамо, јер промовишу различите вредности. У тој промотивној, да кажемо просветитељској, функцији знају ове две компаније повремено да зарате и да употребе ружне речи, али то је само једна малена негативна нуспојава много више функције којој обе служе.
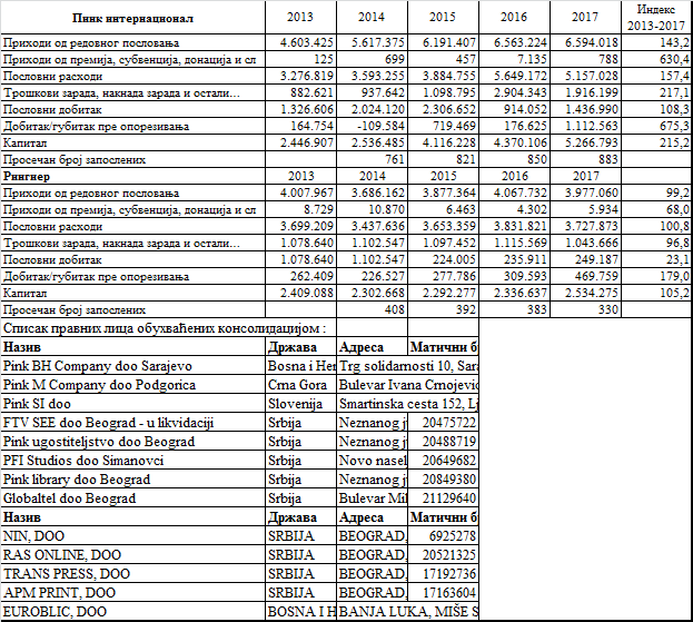
Овде смо издвојили пар података из консолидованих биланса а како би испратили њихов развој кроз време. На жалост, не можемо да формирамо дужу временску серију јер су на АПР-у доступни подаци само од 2014 (где се за 2013 могу пронаћи у билансима за 2014). Штета, јер би могли да пратимо промене у пословању у складу са променама власти, јер живимо у политички нестабилном окружењу које је последица демократије у позној зрелости.
Шта нам кажу подаци?
Обе фирме имају неколико предузећа у власништву, како у Србији тако и ван ње, и ово је само потврда њиховог успешног пословања.
Пинк је од 2013. повећао приходе из редовног пословања за 43,3% док је Рингиер смањио за 0,8%. Међутим, ово је последица различитих медијских области пословања, док Срби све дуже седе уз телевизоре како би се образовали и просветлили, све мање купују новине и магазине. Пад промета штампаних медија догађа се свуда у свету и одговор на овај пад је дигитална економија где би Рингиер, као и друге фирме у овој области, морао да повећа могућност наплате преко интернета.
Приходи од субвенција су нас интересовали како би смо потврдили да не послују све фирме у Србији о трошку државе (домаће и страних). Износи субвенција код Пинка су симболични, док је Рингиер имао неких прилива, али су они временом смањени готово за трећину. Сад, има ту државе као корисника реклама и других садржаја код обе компаније, али такви подаци нам нису доступни из годишњих биланса.
Када су запослени у питању, попут пословних прихода, имамо дивергентна кретања. Са једне стране, Пинк је повећао фонд исплаћених зарада за 117%, док је Рингиер смањио за 3,2%. Број запослених у Пинку је константно повећаван, а у Рингиеру смањиван. Понављамо, послују у областима са различитим трендовима, како у Србији тако и у целом свету.
Пословна добит Пинка је незнатно повећана, за 8,3%, док је код Рингиера смањена за више од три четвртине. Кумулативно, 2013-2017, Рингиер (2,9 милијарди динара) је остварио већу добит од Пинка (2,1 милијарди динара).
У односу на добит трошкови зарада код обе компаније су били знатно већи, 7,7 милијарди динара у Пинку и 5,4 милијарде у Рингиеру, у кумулативу, што указује да ове компаније цене своје запослене, као најважнији ресурс у пословању.
Обе компаније су повећале профитабилност од 2013. године, те је добитак Пинка повећана за 6,8 пута, а Рингиера за 1,8 пута. То је довело до раста капитала Пинка за 115% и Рингиера за 5%.
И тако, било би добро испричати што више овако лепих прича. Србија је лепа земља добрих људи, а демократија и просветитељство у њој напредују и том напретку неће бити краја.

Извор: Макроекономија
Наслов и опрема: Стање ствари
Categories: Преносимо
Оставите коментар